傅里叶级数初探

傅里叶级数

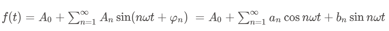
法国数学家傅里叶发现,任何周期函数都可以用正弦函数和余弦函数构成的无穷级数来表示,即:

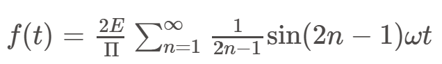
示例:方波函数的傅里叶展开式为 :

我们取前5项进行叠加,就能得到如下绘制效果。

文章作者: Jack.Charles
文章链接: https://blog.zjee.me/2020/05/02/fourier-seriers-1/
版权声明: 本博客所有文章除特别声明外,均采用 CC BY-NC-SA 4.0 许可协议。转载请注明来自 江影不沉浮